收藏本站
首页
公司概况
公司简介
公司规模
公司荣誉
产品中心
新闻动态
企业资讯
行业报道
医药知识
商务招商
联系我们
人才招聘
亚搏官方网站(中国)集团有限公司
新闻动态
企业资讯
行业报道
医药知识
当前位置:
首页
>
企业资讯
>
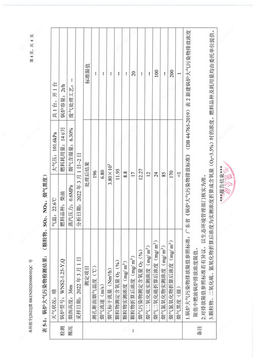
2022年3月废气检测
2022年3月废气检测
发布时间:2022-04-29 10:33:53 点击数:
上一篇:
2022年2月废气检测
下一篇:
2022年3月废水检测
官方微信扫一扫
乐鱼在线登录官网
|
乐鱼官方网站
|
完美体育唯一官网_完美体育(中国)体育官方网
|
九州(中国)jiuzhou·官方网页版
|
完美官方网站
|
九州体育·(中国)官方网站
|
完美在线(中国)唯一官方网站
|
乐鱼(中国)官方网站
|
乐鱼网页版登录入口
|